空气净化器性能试验舱换气次数测量不确定度分析
文章来源:本站 发布时间:2020-10-27 阅读次数:次
近几年来,由于大气环境污染引发了人们对室内空气质量的担忧,已成为社会关注的热点问题。在此背景下,空气净化器产品及市场得以迅速发展,对于其性能的检测无疑是一项重点工作。试验舱作为空气净化器性能测试的专用设备,通过测定试验样机的洁净空气量和累计净化量来评价产品的净化性能。因此试验舱在性能测试中必不可少,在生产企业、产品质量检测机构得以广泛应用。
对试验舱计量特性的评价目前没有相应的测量标准和测量方法,试验舱的计量特性难以保证。本文拟在简要阐述试验舱换气次数测量方法的基础上,对换气次数的测量不确定度进行了系统分析,保证量值溯源的准确可靠。
1.试验舱换气次数测量实验
1.1 测量方法
用二氧化碳作为示踪气体,测量试验舱内二氧化碳浓度,计算换气次数。测量过程中,采样点的位置与净化器实际测试方法中测点位置保持一致。
1.2 测量步骤
2.2.1 关闭试验舱舱门,开启高效空气过滤器,净化试验舱内空气,使颗粒物粒径0.3μm以上的粒子背景浓度小于1000个/L,启动温湿度控制装置,使室内温度和相对湿度达到规定状态。
1.2.2 将二氧化碳发生器连接一根穿过试验舱壁的管子,发生的二氧化碳可被卷入搅拌风扇搅拌所形成的空气涡流中,待输送的二氧化碳达到一定浓度(2000mg/m3~4000/m3)后,关闭发生器。搅拌风扇再搅拌10min,使二氧化碳混合均匀后,关闭搅拌风扇。循环风扇在试验过程中一直保持开启状态。
1.2.3 待搅拌风扇停止运转,用二氧化碳测试仪测定二氧化碳的初始浓度为c0(对应时间t=0min)。
1.2.4 待试验舱内的初始样采集完成后,开始试验。试验过程中,每5min采集1次,第二次取样开始的时刻为t=0h,全部采样时间为1h。
1.2.5 二氧化碳的浓度随时间的变化符合指数函数的变化趋势,用式(1)表示:
式中:
ct ——在时间t时的二氧化碳浓度,mg/m3;
c0 ——在t=0时的二氧化碳初始浓度,mg/m3;
K ——衰减常数,h-1;
t ——时间,h;
1.2.6 按照式(1)做ln ct和t的线性拟合,可求得衰减常数,取绝对值,即为换气次数K,用式(2)表示:
式中:
K ——换气次数,h-1;
ti ——第i个取样点对应的时间,h;
incti ——第i个取样点对应的污染物浓度的自然对数;
n ——采样次数。
1.3 测量结果
二氧化碳浓度测量结果如表1所示。
2.试验舱换气次数测量不确定度分析
2.1 测量模型
二氧化碳的浓度随时间的变化的衰减常数,即为换气次数,表达式如下:
式中:
ct ——在时间t时的二氧化碳浓度,mg/m3;
c0 ——在t=0时的二氧化碳初始浓度,mg/m3;
K ——衰减常数,h-1;
t ——时间,h。
2.2 标准不确定度来源
由测量模型可知,换气次数的测量不确定度由以下四个部分组成:
(a)二氧化碳测试仪浓度测量引入的标准不确定度;
(b)采样时间引入的标准不确定度;
(c)衰减曲线线性拟合引入的标准不确定度;
(d)重复性实验引入的标准不确定度。
2.3 标准不确定度分量分析
2.3.1 二氧化碳测试仪浓度测量引入的标准不确定度分量urel(ct)二氧化碳测试仪的最大允许误差为±2%,按均匀分布,k=
2.3.2 采样时间引入的标准不确定度分量urel(t)计时器的最大允许误差为±0.5% ,按均匀分布,k=
2.3.3 衰减曲线线性拟合引入的标准不确定度分量urel(y)
(1)对标准式(3)取对数,得到下式(4):
令x=t,y=lnct-lnc0+b,得到直线式(5)
(2)最小二乘法线性拟合
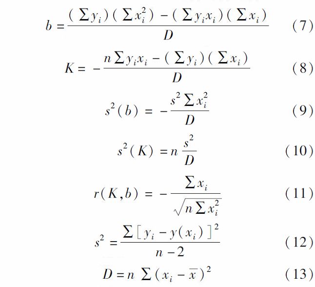
根据最小二乘法和式(5)的假设条件,输出量K、b及它们的估计方差和协方差是在残差平方和Q最小时得到:
这就导出了K和b的公式(7)~(13),s2(K)和s2(b)是它们的实验标准方差,
r(K,b)是估计的相关系数,其中s(K,b)是估计的协方差。
式中:
i ——采样次数,i=1,2,…,n;
[yi-y(xi)] ——在xi时间时测得的yi与线性拟合y=-Kx+b上在xi时预示的y(xi)之间的差值;
s2 ——估计方差,总的拟合不确定度度量,其中因子n-2反映了由n次测量值确定两个参数K和b时,s2的自由度为n-2:
(3)拟合结果的计算
二氧化碳浓度随时间的变化的衰减曲线线性拟合结果如表2所示。
被拟合的数据在表2的第三列和第四列给出,应用式(7)~(13)可以得到:
(4)衰减曲线线性拟合引入的标准不确定度分量urel(y):
2.3.4 重复性实验引入的标准不确定度分量urel(A)
为获得重复性测量的不确定度,对换气次数进行6次重复测试,测试结果见表3
根据表3的数据,计算出换气次数重复性测量的实验标准差:
测量重复性引入的标准不确定度为:
2.4 合成标准不确定度的计算
合成标准不确定度urel(K):
2.5 扩展不确定度的确定
当置信区间为95%,包含因子k=2,则扩展不确定度urel为:
结语
本文讲述了试验舱换气次数的评价方法,为检测机构和生产企业提供了指导思想,为规范行业标准提供了理论依据。
通过试验舱换气次数测量不确定度分析,减小或消除测量过程中各影响因数对测量结果的影响,提高测量结果的可靠性。
测量不确定度的评定和分析,是实验室提高测量结果可靠性的重要保障,是我们工作的科学性和准确性的体现,是实验室专业技术水平高低的体现。
参考文献
[1]GB/T 18801-2015空气净化器
[2]JJF 1059.1-2012测量不确定度评定与表示









